什么是六西格瑪
日期:2016-11-16 / 人氣: / 來源:m.tzxinhai.cn / 熱門標簽: 六西格瑪概念
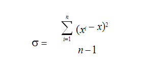
六西格瑪是阿拉伯數字6加上希臘字母σ(西格瑪)。是一個反映數據特征的希臘字母,現在不僅僅是單純的標準差的含義,而被賦予了更新的內容。六西格瑪意味著差錯率為百萬分之三點四(即3.4ppm)。從統計意義上講,一個過程具有六西格瑪(西格瑪)能力意味著過程平均值與其規格上下限線的距離為6倍標準差,此時過程波動減小,每100萬僅有3.4落入規格限以外。因此,作為一種衡量標準,σ的數量越多,質量就越好。我們常用下面的計算公式表示s(即σ)的大小(如圖1-1所示):
其中,xi為樣本觀測值、X為樣本平均值、n為樣本容量
在六西格瑪管理中,通常使用西格瑪水平Z作為滿足顧客要求程度的業績度量。在這種度量中,我們把每個測量值相對于顧客要求的偏離程度考慮進來。
Z有幾種表達形式:最簡單的一種是用測量數據的標準差s與顧客要求的上限(USL)和下限(LSL)的關系來表達,其公式為(如圖1-2所示):
達到六西格瑪水平是指Z等于6。如果用我們熟悉的正態分布來解釋的話,也就是說過程的波動非常小,集中在目標值附近。它們滿足顧客要求的能力很強。而3西格瑪水平則波動較大,其滿足顧客要求的能力遠不如六西格瑪水平。
Z還有另一種表達形式:用百萬分之缺陷率(ppm)來表示。一個服從正態分布的過程,其超出規范限的缺陷百分比與西格瑪水平是一一對應的(如圖所示)。根據這個規律,我們可以通過測量缺陷的比率,估算過程的西格瑪水平Z,并以此考察過程滿足顧客要求的能力。通常,六西格瑪水平所代表的過程缺陷率為3.4ppm,而3西格瑪水平的缺陷率為66807ppm。
我們在引入了西格瑪這個概念以后,不同的企業、工廠、流程、服務之間都可以進行量化的比較。

在六西格瑪管理中,通常使用西格瑪水平Z作為滿足顧客要求程度的業績度量。在這種度量中,我們把每個測量值相對于顧客要求的偏離程度考慮進來。
Z有幾種表達形式:最簡單的一種是用測量數據的標準差s與顧客要求的上限(USL)和下限(LSL)的關系來表達,其公式為(如圖1-2所示):

達到六西格瑪水平是指Z等于6。如果用我們熟悉的正態分布來解釋的話,也就是說過程的波動非常小,集中在目標值附近。它們滿足顧客要求的能力很強。而3西格瑪水平則波動較大,其滿足顧客要求的能力遠不如六西格瑪水平。


作者:博革咨詢










